Δείτε το Πόθεν Έσχες της Φώφης Γεννηματά
ΤΙ ΔΗΛΩΣΕ ΤΟ ΟΙΚΟΝΟΜΙΚΟ ΕΤΟΣ 2012
Η κυρία Φώφη Γεννηματά το 2012 ήταν εξωκοινοβουλευτική υπουργός Εθνικής Άμυνας και το σύνολο των εσόδων ανήλθαν σε 40.600 ευρώ, ενώ της συζύγου της σε 30.204 ευρώ.
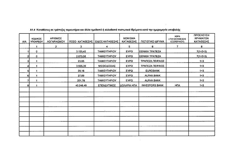
Αναφορικά με τις τραπεζικές της καταθέσεις, στο Πόθεν Έσχες που έχει καταθέσει ο μεγαλύτερος λογαριασμός είναι του συζύγου της στην Investor Bank (επενδυτικός λογαριασμός) με 40.248 δολάρια.
Οι υπόλοιποι λογαριασμοί της κυρίας Γεννηματά και της συζύγου της δεν ξεπερνούν συνολικά τις 10.000 ευρώ.
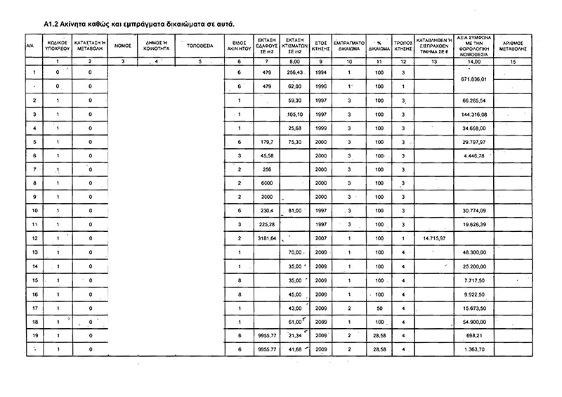
Αμετάβλητη παρέμεινε η ακίνητη περιουσία του ζεύγους.
Συνολικά η κυρία Γεννηματά και ο σύζυγός της κατέχουν δικαιώματα από 20% ως 100% σε 29 ακίνητα.
Η σημερινή πρόεδρος του ΠΑΣΟΚ εκείνη την περίοδο είχε μικρό χαρτοφυλάκιο μετοχών (Εθνική Τράπεζα και Αστήρ Παλλάς Βουλιαγμένης), ενώ είχε προβεί και στην αγορά μικρού αριθμού warrants της Εθνικής Τράπεζας.
Η πρόεδρος του ΠΑΣΟΚ δεν διαθέτει αυτοκίνητο στο όνομά της.








Σχετικά Άρθρα
19/03/2026 - 17:26
19/03/2026 - 15:47
Δείτε επίσης